maipatana.me

วิธีการคำนวณ OTTV ภาคทฤษฎี ตอนที่ 3 TDeq จบผนังทึบ

ottvenergytdeqrttv

ในตอน วิธีการคำนวณ OTTV ภาคทฤษฎี ตอนที่ 2: U-Value และ TDeq เราได้รู้จักวิธีการหาค่าU-Value กันไปแล้ว ตอนจบผมยังค้างเรื่องการหาค่า TDeq เอาไว้ด้วยฉะนั้นครั้งนี้เราจะมาจบเรื่อง TDeq และจบการหาค่า OTTV ของผนังทึบกันครับ ความรู้จากตอนที่แล้วทำให้ทุกคนสามารถบอกลูกค้าได้ว่า “ผนัง(ทึบ)แต่ละแบบมีประสิทธิภาพอย่างไร” ซึ่งความรู้ตรงนี้สามารถเอาไปใช้ได้ทั่วโลกแปลว่าผนังก่ออิฐฉาบปูนหนา 10cm ที่ไทยกับที่อเมริกาก็มีค่า U-Value ที่เท่ากันแต่ในวันนี้เราจะลงลึกไปในบริบทของประเทศไทยและประเภทของอาคาร แปลว่าค่าที่เรากำลังจะหากันในวันนี้มันเฉพาะเจาะจงว่าเฉพาะในประเทศไทยและสำหรับประเภทอาคารนั้นๆเท่านั้น เนื้อหาในวันนี้จะทำให้ทุกคนสามารถคำนวณค่า OTTV ของผนังทึบได้แล้วนะครับ ดีใจไหมครับ? เรากำลังจะคำนวณค่า OTTV กันเป็นครั้งแรกแล้ว และเนื้อหาส่วนใหญ่วันนี้ไม่ใช่การคำนวณแต่เป็นการเปิดตารางครับ

007 OTTV Formula Opaque

รูปที่ 1 แสดงสูตรคำนวณค่าOTTV สำหรับผนังทึบ

ก่อนอื่นต้องทบทวนเรื่องสูตรการหาค่า OTTV ของผนังทึบกันก่อน (รูปที่ 1) ซึ่งก็คือ (Uw * Area * TDeq)/Area ค่า U-Value เรารู้วิธีหามันจากตอนที่แล้วไปแล้วส่วนพื้นที่ของผนังเราก็สามารถหาได้อยู่แล้วเหลือเพียงค่า TDeq เท่านั้นซึ่งอย่างที่บอกไว้ว่าค่า TDeq นี้หาไม่ยากเลยส่วนใหญ่เป็นการเปิดดูในตารางเสียมากกว่าเอาละถ้าเราจบเนื้อหาวันนี้ได้ผมว่าเรามาเกินครึ่งทางของการคำนวณค่า OTTV-RTTV กันละ

เรามาเริ่มกันเลยดีกว่าครับ

Moon

วิธีการคำนวณ OTTV ภาคทฤษฎีตอนที่ 3: TDeq จบผนังทึบ

การหาค่า TDeq คล้ายๆกับการทำอาหารครับก่อนที่จะลงมือผัดทอดอะไรก็ต้องเตรียมวัตถุดิบต่างๆให้พร้อมเสียก่อนวัตถุดิบของค่า TDeq มีดังนี้ครับ

  1. ทิศที่ผนังหันหน้าไปหา (เหนือ, ใต้, ออก,….)
  2. ความเอียงของผนัง (เอียงเข้า-ออกกี่องศา)
  3. สีของผนัง (ขาว, เขียว, เทา,….)
  4. ประเภทอาคาร (สำนักงาน, โรงแรม,….)
  5. ค่าDSH ซึ่งสูตรของมันคือ (Δx * ρ * Cp)
    1. ความหนาของวัสดุ (Δx)
    2. ความหนาแน่นของวัสดุนั้นๆ (ρ)
    3. ความจุความร้อนจำเพาะของวัสดุนั้นๆ (Cp)

ข้อ 1 ถึงข้อ 4 ผมคิดว่าเราต้องรู้กันอยู่แล้ว แต่ข้อ 5 นี่อาจจะทำให้คุณผู้อ่านชะงักเล็กน้อยเมื่อเจอข้อ 5.2 และ 5.3 แต่เชื่อไหมครับว่าเราเคยพบกับค่า ρ กับ Cp มาแล้วในตอนก่อนหน้านี้จำได้ไหมครับ? มันคือค่าที่เอามาจาก ประกาศกระทรวงพลังงาน นั่นแหละครับไม่ต้องไปหาที่ไหนไกล สรุปว่าตอนนี้เรารู้ทุกค่าแล้วใช่ไหมครับ? ถ้าอย่างนั้นผมจะเอาผนังคอนกรีตหนา 20cm จากตอนที่แล้วมาเป็นตัวอย่างในการหาค่า TDeq ให้ดูนะครับถ้าใครยังไม่รู้ว่าค่า U-Value ของผนังคอนกรีตหนา 20cm มีที่มาที่ไปยังไงผมแนะนำกลับไปอ่าน ตอนที่ 2 ก่อนนะครับไม่อย่างนั้นอาจจะงงได้

002 DSH Concrete 20cm

รูปที่ 2 แสดงการหาค่า DSH ของผนังคอนกรีตหนา 20cm

วันนี้เราได้จำลองอาคารสำนักงานขนาด 5เมตร * 5เมตร สูง 3เมตรผนังทุกด้านทาสีขาวมาให้คำนวณกันง่ายๆ การหาค่า DSH ก็ตามสูตรที่ได้บอกไว้ข้างต้นว่า (Δx * ρ * Cp) ซึ่งในกรณีนี้ก็คือ (0.2 * 2400 * 0.92) เราก็จะได้ค่า DSH ของผนังคอนกรีตหนา 20cm อยู่ที่441.6 (รูปที่ 2)

Note: ทราบไหมครับว่าค่า ρ กับค่า Cp มาจากไหน? เปิด ประกาศกระทรวงพลังงาน ไปที่หน้า 27 (หน้า 7 ตามในไฟล์) ซึ่งเป็นตารางเดียวกับที่เราเอาค่า k มาคิดหาค่า U-Value


003 TDeq Ingredients

รูปที่ 3 แสดงวัตถุดิบในการหาค่า TDeq ของผนังคอนกรีตหนา 20cm ทาสีขาวในทิศเหนือ ใต้ ตะวันออก และตะวันตก

วัตถุดิบ 5 อย่างที่ผมได้บอกไว้ข้างต้น ตอนนี้เรามีครบแล้วครับ

  1. ทิศที่ผนังหันไปหา – ดูจากแปลนแล้วเรามี 4 ทิศคือเหนือ ใต้ ตะวันออก และตะวันตก
  2. ความเอียงของผนัง – ผนังตรงอยู่ที่ 90 องศาครับ ต้องหลังคาถึงจะเป็น 0 องศาครับ
  3. สีของผนัง – ในกรณีนี้เราสมมติว่าเป็นสีขาวครับ
  4. ประเภทอาคาร – เราให้เป็นสำนักงานครับ
  5. ค่า DSH – 441.6

ถ้าเรามีครบแล้ว เราก็สามารถเปิดตารางหาค่า TDeq กันได้เลย ให้ทุกคนเปิดไฟล์ ประกาศกระทรวงพลังงาน ขึ้นมาเลยครับ เปิดคู่กับหน้าต่างนี้เลยจะได้ทำไปพร้อมๆกัน วิธีการเปิดตารางนะครับ (รูปที่ 4) อย่างแรกคือต้องรู้ประเภทอาคารก่อน(4) ซึ่งก็คือสำนักงาน ฉะนั้นให้เปิดประกาศในกระทวงพลังงานไปภาคผนวกหน้าที่ 1 (หน้า 39 ตามในไฟล์) เลยครับ จะเห็นหัวข้อว่าเป็นค่า TDeq สำหรับอาคารสำนักงาน จากนั้นให้ดูที่ช่องซ้ายสุด มันคือความเอียงของผนังครับ(2) ผนังตรงๆปกติทั่วไปอยู่ที่ 90 ก็ให้เลื่อนลงไปหา 90 เลยครับ อยู่ที่ภาคผนวกหน้า 11 (หน้า 49 ตามในไฟล์) จากนั้นเห็นอะไรไหมครับ? มันแยกตามทิศที่ผนังหันไปหาครับ(1) ซึ่งเรามีทั้ง 4 ทิศเลย เราก็ดูทีละทิศ เอาเป็นทิศเหนือก่อนเลย จากนั้นให้ดูค่า DSH ครับ(5) มันมีสุดที่ 400 ของเรา 441.6 ก็เอา 400 นี่แหละครับ อย่างสุดท้ายที่ต้องดูคือสีของอาคารครับ(3) สีขาวคือ 0.3 ครับ ทราบไหมครับว่า 0.3 มาได้ยังไง? ให้เปิดประกาศกระทรวงพลังงานกลับไปที่หน้า 30 (หน้า 10 ตามในไฟล์) จะเห็นว่ามีการกำหนดค่าการดูกลืนแสงอยู่ว่าสีใดมีค่าเท่าไหร่ สีขาวคือ 0.3 สีดำคือ 0.9 นะครับ เอาละเรากลับมาดูที่ตารางค่า TDeq ของเรากันต่อ เปิดกลับมาภาคผนวกหน้า 11 (หน้า 49 ตามในไฟล์) ลองดูว่าเราได้ค่า TDeq หรือยังครับ? ตามรูปที่ 5 นี่ใช่ค่า TDeq ที่เราต้องการหรือยังครับ? ใช่แล้วนะครับ นี่แหละคือค่า TDeq เราก็มองหาให้ครบทั้ง 4 ทิศครับ

004 TDeq Table Office

รูปที่ 4 แสดงวิธีการเปิดประกาศกระทรวงพลังงานเพื่อหาค่า TDeq


005 TDeq Table Office Concrete 20cm

รูปที่ 5 แสดงการเลือกค่า TDeq ของผนังคอนกรีตหนา 20cm จากประกาศกระทรวงพลังงาน


006 TDeq Conrete 20cm North South East West

รูปที่ 6 แสดงค่า TDeq ของผนังคอนกรีตหนา 20cm ในทิศเหนือ ใต้ ตะวันออก และตะวันตก

ตอนนี้เราได้ค่า TDeq ครบทั้ง 4 ทิศแล้ว (รูปที่ 6) อยากให้ตอนนี้ทุกๆคนพักสักครู่นึงครับ ดื่มน้ำสักแก้ว เดินแก้เมื่อยสักหน่อย เพราะต่อไปเราจะทำการคำนวณ OTTV กันเป็นครั้งแรก OTTV ที่เรากำลังจะคำนวณนี้เป็นค่าจริงนะครับ แปลว่าค่านี้ Valid จริงๆสามารถเอาไปใช้ทำอะไรๆได้เลย

คำนวณค่า OTTV ของอาคารสำนักงานทรงสี่เหลี่ยมจัตุรัสกว้าง 5เมตร สูง 3เมตร ที่ไม่มีประตูและหน้าต่าง

อย่างแรกก็ต้องมาดูสูตรของค่า OTTV สำหรับผนังทึบกันก่อน (รูปที่ 7)

007 OTTV Formula Opaque

รูปที่ 7 แสดงสูตรคำนวณค่าOTTV สำหรับผนังทึบ

ค่า U เราคำนวณกันไปเรียบร้อยในตอนที่แล้ว

พื้นที่ เราก็รู้ เพราะแต่ละด้านกว้าง 5เมตร สูง 3เมตร ก็เอา 5 * 3 ก็ได้ 15ตารางเมตร

TDeq เราก็รู้ เราเพิ่งหามาได้เมื่อกี้

พื้นที่ทั้งหมด เราก็รู้ ก็ 15ตารางเมตร 4ด้าน ก็ 60ตารางเมตร

ทุกค่าเรารู้หมดแล้ว จะรออะไรละครับ หาค่า OTTV สิครับ

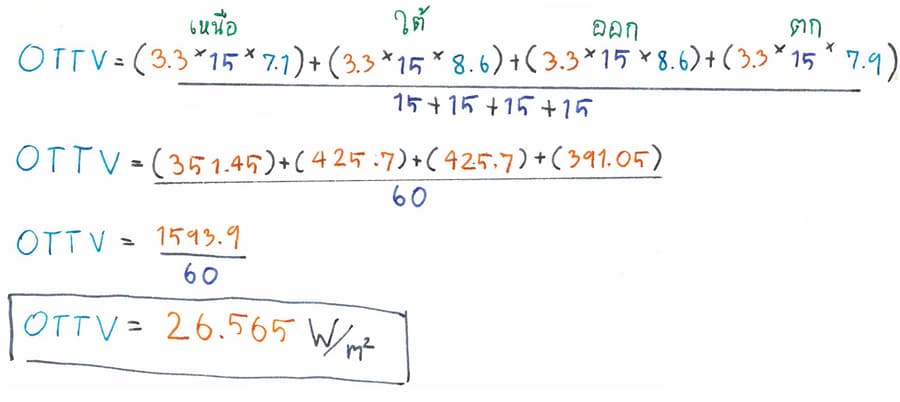
008 OTTV Concrete 20cm office square 5 Height 3

รูปที่ 8 แสดงการหาค่า OTTV ของอาคารสำนักงานทรงสี่เหลี่ยมจัตุรัสกว้าง 5เมตร สูง 3เมตร ที่ไม่มีประตูและหน้าต่าง ผนังทั้ง 4ด้าน เป็นคอนกรีตหนา 20cm

จากรูปที่ 8 จะเห็นว่าพอเราเอาค่า U-Value (ได้มาจากตอนที่แล้ว) มาคูณ(*) กับพื้นที่ของผนังแล้วก็คูณ(*) กับค่า TDeq ของผนังนั้นๆก็จะได้ค่าพลังงานหรือความร้อนที่ผ่านเข้ามา แล้วก็เอาค่าพลังงานของผนังแต่ละด้านมาบวกกันให้หมดเราก็จะได้ค่าพลังงานรวมทั้งหมดที่เข้ามา จับมันมาหาร( / ) ด้วยพื้นที่ของผนังทั้งหมด เท่านี้เราก็ได้ค่า OTTV มาแล้วครับ

เป็นยังไงบ้างครับกับการคำนวณค่า OTTV ? ไม่ยากเลยใช่ไหมครับ :D

ในตอนที่แล้วเราคำนวณค่า U-Value ของผนังคอนกรีตหนา 20cm กับผนังก่ออิฐฉาบปูนหนา 10cm กันไป จะเห็นว่าค่า U-Value ของผนังก่ออิฐฉาบปูนนั้นต่ำกว่าของผนังคอนกรีต เรียกว่ามีประสิทธิภาพดีกว่านั่นเอง แต่เชื่อไหมครับ ว่าถ้าเอาอาคารสำนักงานเมื่อกี้ที่เราคำนวณค่า OTTV กัน เปลี่ยนผนังทั้งหมดเป็นผนังก่ออิฐฉาบปูนที่มีค่า U-Value ต่ำกว่า ค่า OTTV กลับสูงกว่า หรือแปลว่าเมื่อเอามาคำนวณเป็นค่า OTTV แล้ว ผนังคอนกรีตหนา 20cm มีประสิทธิภาพดีกว่า

ลองมาดูกันดีกว่าครับว่ามันจริงไหม

009 DSH Brick Plaster 10cm

รูปที่ 9 แสดงการหาค่า DSH ของผนังก่ออิฐฉาบปูนหนา 10cm

ก่อนอื่นเลยเราก็มาหาค่า DSH ของผนังก่ออิฐฉาบปูนหนา 10cm นี้กัน สูตรเหมือนเดิมครับ แต่สิ่งที่เพิ่มขึ้นมาคือการบวก(+) ค่า DSHของวัสดุแต่ละชนิดใน Section ของผนังเข้าด้วยกัน เราก็จะได้ค่า DSH ของผนังชนิดนี้ครับ (รูปที่ 9) หลังจากนั้นก็เอาค่า DSH นี้ไปหาค่า TDeq จากตารางในประกาศกระทรวงพลังงาน

010 TDeq Brick Plaster 10cm North South East West

รูปที่ 10 แสดงค่า TDeq ของผนังก่ออิฐฉาบปูนหนา 10cm ในทิศเหนือ ใต้ ตะวันออก และตะวันตก

จะเห็นว่าค่า DSH อยู่ที่ 135.352 ซึ่งในตารางมีให้ที่ 100 กับอีกที 200 เลย ผมแนะนำว่าให้ใช้ค่าที่สูงกว่าครับ หมายความว่าอย่างทิศเหนือนี่ค่า TDeq ของ DSH 100 ของสีขาวอยู่ที่ 9.1 ของ 200 อยู่ที่ 7.9 ก็ให้เอา 9.1 เพราะมันมากกว่า ซึ่งจริงๆแล้วควรใช้วิธี Linear Interpolation ซึ่งผมจะอธิบายในภาคปฏิบัติโดยการใช้ Microsoft Excel ครับ สำหรับตอนนี้เอาวิธีนี้ไปก่อน แต่ก็สามารถใช้ได้จริงครับ

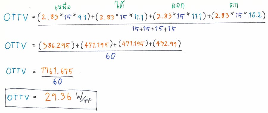
หลังจากที่ได้ค่า TDeq มาแล้ว เราก็ทำแบบเดิมที่เราทำกับผนังคอนกรีตเลย ก็คือเอาค่า U-Value ที่ได้จากตอนที่แล้วมาคูณกับพื้นที่แล้วก็คูณกับค่า TDeq ของผนังแต่ละด้าน จากนั้นเอาค่าที่ได้มาบวกกันให้หมดแล้วหารด้วยพื้นที่ทั้งหมด เราก็จะได้ค่า OTTV ของอาคารสำนักงานขนาด 5เมตร *5เมตร สูง 3เมตร ผนังทุกด้านเป็นผนังก่ออิฐฉาบปูนหนา 10cm (รูปที่ 11)

011 OTTV Brick Plaster 10cm office square 5 Height 3

รูปที่ 11 แสดงการหาค่า OTTV ของอาคารสำนักงานทรงสี่เหลี่ยมจัตุรัสกว้าง 5เมตร สูง 3เมตร ที่ไม่มีประตูและหน้าต่าง ผนังทั้ง 4ด้าน เป็นผนังก่ออิฐฉาบปูนหนา 10cm

จะเห็นว่าค่า OTTV ของผนังคอนกรีตหนา 20cm น้อยกว่าค่า OTTV ของผนังก่ออิฐฉาบปูนอยู่ประมาณ 10% เลยทีเดียว ทุกคนพอจะทราบไหมครับว่าทำไม? ไว้ครั้งหน้าผมจะมาเฉลยว่าทำไมค่า OTTV ของผนังก่ออิฐฉาบปูนมันถึงมากกว่านะครับ แต่ถ้าเราลองดูจากสูตรคำนวณและค่าที่ออกมาเราก็น่าจะพอบอกได้แล้วละว่าอะไรที่ทำให้มันมากกว่าทั้งๆที่ค่า U น้อยกว่าในพื้นที่ๆเท่ากัน

วันนี้เราจบเรื่องของผนังทึบกันแล้วนะครับ วิธีที่ผมอธิบายไปสามารถนำไปปรับใช้กับผนังได้ทุกแบบในทุกๆด้าน หลักการก็คือว่าถ้าค่าTDeq มันต่างกัน หรือทิศต่างกัน ก็แยกพื้นที่มันออกมาแล้วก็เอามาคูณกันก่อน แล้วค่อยมาบวกกันแล้วหารด้วยพื้นที่ทั้งหมด อย่างน้อยๆก็สามารถนำไปบอกลูกค้าได้ว่าผนังแบบใดในทิศใดจะมีประสิทธิภาพต่างกันอย่างไรมากน้อย เพราะผมบอกตรงๆว่าถ้าไม่ได้คำนวณผมยังคิดเลยว่าผนังคอนกรีตไม่น่ามีค่า OTTV น้อยกว่าผนังก่ออิฐฉาบปูนได้ แต่พอคำนวณออกมาแล้ว กลับกลายเป็นว่าผนังคอนกรีตหนา 20cm มีค่า OTTV สูงกว่าผนังก่ออิฐฉาบปูนหนา 10cm

ในตอนต่อไปผมจะเริ่มเรื่องของผนังโปร่งแสงหรือกระจกนั่นเองครับ ซึ่งง่ายกว่านี้มากกกกกก ผมคิดว่าเรามาได้ประมาณ 70% ของการคำนวณ OTTV ทั้งหมดละ เดี๋ยวใกล้ๆจบภาคทฤษฎีผมอาจจะขอให้คุณผู้อ่านส่งอาคารมาให้ผมสักหลังแล้วผมจะคำนวณให้ดูในภาคปฏิบัติ เดี๋ยวจะคิดดูว่าจะทำยังไงเพราะตั้งใจว่าจะเอาตึกจริงๆมาคำนวณให้ดูในภาคปฏิบัติ แต่ไม่อยากให้มันซับซ้อนไปเดี๋ยวมันจะยาว

ยังไงวันนี้ก็เท่านี้ก่อนครับ สวัสดีทุกคนครับ _ /\ _


via DEDE