maipatana.me

วิธีการคำนวณ OTTV ภาคทฤษฎี ตอนที่ 2 U-Value และ TDeq

ottvenergyuvaluetdeqrttv

ตอนนี้เป็นตอนที่ 2 ในซีรีส์ “วิธีการคำนวณ OTTV ภาคทฤษฎี” นะครับ ในตอนที่แล้ว วิธีการคำนวณ OTTV ภาคทฤษฎี ตอนที่ 1: ปฐมบท เราเริ่มต้นด้วยการพูดถึง OTTV-RTTV โดยรวมว่ามันคืออะไรมาจากไหนมีส่วนประกอบของอะไรบ้าง และมีการจำลองวิธีคำนวณหาค่า OTTV แบบสั้นๆกันไปเล็กน้อย ถ้ายังจำได้ในช่วงท้ายตอนที่แล้วเราทำการสมมติค่า U-Value และค่า TD กันเพื่อคำนวณ OTTV เป็นที่มาว่าวันนี้ผมจะอธิบายวิธีการหาค่า U-Value และค่า TDeq โดยที่เราจะได้ไม่ต้องสมมติอีกต่อไป แต่เราจะสามารถใช้ค่าจริงได้เลย เนื้อหาวันนี้ไม่ยากครับแต่ยาวหน่อย แนะนำว่าหาไปเข้าห้องน้ำกันให้เรียบร้อย หาน้ำดื่มมาตั้งข้างๆ อ่านไปดื่มน้ำไปครับ ไม่อย่างนั้นจะขาดน้ำเอาได้

ว่าแล้วก็โหลด ประกาศกระทรวงพลังงาน มาเปิดรอเลยครับ จากนั้นก็หยิบเครื่องคิดเลข กระดาษ และปากกาขึ้นมา วันนี้มีแค่การบวก (+) การหาร (/) และการคูณ (*) เท่านั้น ตัวเลขไม่เยอะมากพอคำนวณในการดาษได้อยู่ครับ แต่ถ้าใครไม่ถนัดใช้เครื่องคิดเลขก็เปิด Excel ขึ้นมาได้เลยครับ แต่ถ้ายังไม่สะดวกหยิบเครื่องคิดเลขตอนนี้ก็ไม่เป็นไร อ่านตามไปก่อนได้ แต่ประกาศกระทรวงพลังงานนี่จำเป็นต้องเปิดดูคู่กันไปครับ ไม่อย่างนั้นจะไม่รู้เรื่องได้ว่าบางค่ามาได้ยังไง

Go go go! เริ่มกันเลย!

UValue TDeq Title

วิธีการคำนวณ OTTV ภาคทฤษฎี ตอนที่ 2: U-Value และ TDeq

U-Value ค่าสัมประสิทธิ์การถ่ายเทความร้อนรวม

ค่า U-Value เป็นหนึ่งในค่าที่มีการพูดถึงอย่างกว้างขวางมากที่สุดค่าหนึ่ง เป็นพื้นฐานของความเข้าใจประสิทธิภาพของวัสดุต่างๆ การเปรียบเทียบผนังแบบต่างๆ และการประหยัดพลังงานจากการเลือกใช้วัสดุต่างๆ ฉะนั้นวันนี้คุณจะไม่เพียงแค่รู้วิธีการคำนวณเพื่อหาค่า OTTV-RTTV แต่คุณยังจะมีความรู้ใหม่ๆไปคุยกับลูกค้าและเอาไว้เปรียบเทียบวัสดุต่างๆอีกต่างหาก

ถ้าลูกค้าถามว่า “คุณสมพงษ์ครับ ถ้าผมเปลี่ยนจากอิฐมอญเป็นอิฐมวลเบา ผมจะประหยัดแอร์ได้เยอะไหมครับ?”

คุณอยากจะตอบอะไรระหว่าง “ก็…ประหยัดขึ้นนิดหน่อยครับ(หรือเปล่าวะ?)” กับ “ประหยัดขึ้นประมาณ xx.xx%ครับ” แน่นอนว่าได้อย่างหลังมันก็คงดี (ไม่อย่างนั้นคุณคงไม่เปิดอ่านมาจนถึงตอนนี้) เอาละ ผมก็ได้อารัมภบทมาสักพักละ แต่ด้วยความที่ค่า U เนี่ยมันเป็นอะไรที่ดูเหมือนทุกคนจะรู้จักกันอยู่แล้ว (ผมได้รับการบอกมาว่าเรื่องนี้มีสอนในระดับป.ตรีที่ประเทศไทยอยู่แล้ว) ก่อนที่ผมจะลงไปในรายละเอียดถึงวิธีการคำนวณค่า U ผมอยากจะเล่าถึงบทสนทนาสั้นๆสักหน่อย (Based on true story)

A: นายๆ ค่า U-Value (ยูแวลู่) คืออะไรหรอ?

B: อ๋อ มันคือค่าสัมประสิทธิ์การถ่ายเทความร้อนรวมไง

A: แล้วสัมประสิทธิ์การถ่ายเทความร้อนรวมมันคืออะไรอะ?

B: มันก็คือ U-Value ไง

A: แล้วมันบอกอะไร?

B: มันก็บอกค่าสัมประสิทธิ์การถ่ายเทความร้อนรวมไง

A:

ที่ผมยกตัวอย่างบทสนทนาสั้นๆนี้มาก็เพื่อจะพูดถึงสิ่งที่ Richard Feynman ได้เคยพูดเอาไว้ Richard Feynman เคยพูดถึงความแตกต่างระหว่างการ “รู้ชื่อ” ของบางอย่าง กับ “รู้”บางอย่าง วันนี้แหละครับที่คุณผู้อ่านจะไม่ได้เพียง “รู้ชื่อ” เรียกของ U-Value แต่จะ “รู้” ว่ามันคืออะไร

001 U Value

รูปที่ 1 แสดงความหมายของ U-Value

ในตอนที่แล้วผมได้บอกไปว่าค่า U คือค่าที่บอกว่าพลังงานสามารถผ่านวัสดุชิ้นนี้ได้เท่าไหร่ในพื้นที่ 1 ตารางเมตรเมื่ออุณหภูมิต่างกัน 1 องศาเซลเซียส โดยค่า U-Value นี้มีหน่วยคือ (W/m2 °C) (รูปที่ 1) วันนี้ผมจะแปลงเจ้าค่า U จากภาษาไทยให้เป็นภาษาสากลเพื่อความสะดวกต่อความเข้าใจดังนี้ (ภาษาสากลคืออะไรมีบอกไว้สั้นๆใน ตอนที่ 1

002 Uvalue formula

รูปที่ 2 แสดงสูตรคำนวณค่า U-Value

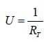
เปิดประกาศกระทรวงพลังงานไปหน้า 23 (หน้า 3 ตามในไฟล์) จะเห็นว่าค่า U-Value = 1/RT (รูปที่ 2)

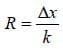
“โอ้วแม่เจ้าประคุณรุนช่อง! มันช่างเป็นสูตรที่ง่ายอะไรอย่างนี้ แค่เอา 1 มาหาร (/) ด้วย RT เท่านั้นเอง” (ให้นึกถึงเสียงคนขายของ Abdominiser ทาง TV Direct หรือเสียงของ Mr.Bryan จาก BananaMaxTV) ทุกคนรู้อยู่แล้วว่า 1 คืออะไร แต่ว่าเจ้า RT ละ? ถ้าคุณผู้อ่านกลับไปดูในประกาศกระทรวงพลังงานแล้วเลื่อนลงมาหน่อยจะเห็นว่า R = Δx / k เอาละสิ ทั้ง Δx ทั้ง k มันคืออัลลัย แถมมีสามเหลี่ยมอยู่หน้าตัว x ด้วย ดูแปลกตามาก (รูปที่ 3)

003 Rvalue formula

รูปที่ 3 แสดงสูตรคำนวณค่า R-Value

ไม่ต้องกลัวครับ มันง่ายมาก ความหมายของ Δx กับ k ก็คือ (ตามในประกาศกระทรวงพลังานเลยครับ)

Δx = ความหนาของวัสดุ (m)

k = สัมประสิทธิ์การนำความร้อนของวัสดุ (W/m °C)

เชิญทุกท่านพบกับดารารับเชิญของเราทั้ง 3 ท่านกันได้เลยครับ ท่านแรกคือคุณยู (U-Value) ท่านที่สองคือคุณอา (R-Value) และท่านสุดท้ายคุณเค (k) ครับ (ขอเสียงปรบมือ ~~~~~) คุณยูนี่เป็นคนเกาหลีครับสิ่งที่คุณยูบอกเรามาตลอดคือมีพลังงานผ่านหน้าตัด (Section) ไปเท่าไหร่ในพื้นที่ 1 ตารางเมตรโดยที่อุณหภูมิภายในกับภายนอกต่างกัน 1 องศาเซลเซียส ส่วนคุณอาผมนี่เค้าบอกเราว่าพื้นที่ต้องมีขนาดเท่าไหร่พลังงานมันถึงผ่านได้ 1 วัตต์ สุดท้ายคือคุณเค ถ้าคุณผู้อ่านดูไม่ดีนี่จะนึกว่าคุณเคเป็นคุณยูได้ เพราะหน้าตาเค้าคล้ายกันครับ แต่จริงๆแล้วคุณเคเค้าบอกว่าพลังงานผ่านไปกี่วัตต์ถ้าวัสดุหนา 1 เมตรและมีความแตกต่างของอุณหภูมิของทั้งสองฝั่งที่ 1 องศาเซลเซียส (รูปที่ 4)

004 Conductivity Resistance UValue

รูปที่ 4 แสดงถึงลักษณะของค่า U-Value, R-Value และ k

สำหรับการหาค่า R-Value เพื่อหาค่า U-Value ผมเชื่อว่า Δx ไม่ใช่ปัญหาแน่นอน แต่ k ละ? ผมบอกตรงๆนะ ผมคิดว่าสถาปนิกธรรมดาๆอย่างเราไม่มีปัญญาไปหาค่า k จากวัสดุมาด้วยตัวเองหรอกครับ ซึ่งจริงๆเราก็ไม่จำเป็นต้องไปวัดเองครับ (นอกจากจะไปทำบุญ เอ้ย! ทำวิจัย) แล้วเราจะทำยังไงละ!? อย่างเพิ่งตกใจไป ให้คุณผู้อ่านเปิดประกาศกระทรวงพลังงานไปที่หน้า 27 (หน้า 7 ตามในไฟล์) คุณเห็นอะไรไหมครับ?..... เห็นไหมครับ?..... มันคือตารางที่บอกทั้งค่า k ค่า ρ และ Cp ของวัสดุชนิดต่างๆครับ (ค่า ρ กับ Cp ดูให้คุ้นไปก่อน เดี๋ยวได้ใช้เพื่อหา TDeq ครับ) ลองไล่ๆดูในตารางจะเห็นว่ามีวัสดุอยู่ค่อนข้างครอบคลุมแต่แน่นอนว่าไม่ได้มีทุกวัสดุในจักรวาล วิธีหาค่า k ของวัสดุอื่นๆนอกจากในตารางผมจะไว้เล่าตอนท้าย ตอนนี้เอาวัสดุที่เค้ามีให้ก่อนนะครับ

เมื่อเรามีตารางค่า k อยู่ในมือแล้ว เราก็สามารถทำการคำนวณค่า U กันได้แล้วครับ (คุณจะได้ใช้เครื่องคิดเลขแล้ว) เอาธรรมดาๆก่อนเลย มาหาค่า U-Value ของผนังคอนกรีตหนา 20 cm กันครับ

005 UValue Concrete 20cm

รูปที่ 5 แสดงตัวอย่างการหาค่า U-Value ของผนังคอนกรีตหนา 20 cm

ตามรูปที่ 5 คือเราเอาความหนาของวัสดุออกมาก่อนเลย Δx = 0.2 (m) ความหนานี้ต้องระวังนะครับ ต้องเป็นหน่วยเมตรนะครับ จากนั้นก็เอาค่า k มาจากในประกาศกระทรวงพลังงาน ค่า k ของคอนกรีตสแลบคือ 1.442 (W/m °C) เอา 0.2 หาร (/) ด้วย 1.442 ก็ได้ 0.1386962552 เอา 1 หาร (/) ด้วย 0.1386962552 ก็ได้ 7.21…..นี่ใช่ค่า U-Value หรือเปล่าครับ? เราคำนวณตามสูตรทุกอย่างเลยแบบนี้ค่าที่เราได้มันถูกป่าวครับ?

wrong

ผิด!!

ค่า U ในรูปที่ 5 ผิด นะครับ คำถามสุดยอดแฟนพันธ์แท้ครับ ถามว่า “ค่า U ในรูปที่ 5 ผิดตรงไหน?” …….เป็นคำตอบที่……เป็นคำตอบที่…….

006 Air Film Resistance

รูปที่ 6 แสดงค่า R-Value ของฟิล์มอากาศทั้งสองด้านของวัสดุ

ถ้าเปิดประกาศกระทรวงพลังงานไปหน้า 25 (หน้า 5 ตามในไฟล์) ส่วนล่างๆของหน้าจะเห็นว่ามีค่า Ro (outside) กับ Ri (inside) ที่ต้องบวก (+) เข้าไปกับค่า R ของวัสดุที่เราหาได้เมื่อกี้ เพื่อให้เป็นค่า RT (Total) นะครับ เมื่อกี้ก่อนที่เราจะเอาค่า R ไปให้ 1 มันหารเพื่อหาค่า U-Value เราไม่ได้บวกค่า Ro กับ Ri กันเข้าไปเลยได้ค่า U-Value ที่ผิดพลาดครับ เมื่อเรารู้แล้วก็เอาไปบวกกันเลยครับ

007 UValue Concrete 20cm Correct Added Air Film Resistances

รูปที่ 7 แสดงการแก้ไขการคำนวณค่า U-Value จากรูปที่ 5

ในรูปที่ 7 เราจะเห็นว่าค่า RT คือค่า Ro + R + Ri นะครับ ในกรณีนี้ก็คือ 0.044 + 0.1386962552 + 0.12 ซึ่งก็จะมีค่าเท่ากับ (=) 0.3026962552 ตอนนี้เรามาถึงขั้นตอนสุดท้ายในการหาค่า U กันแล้วครับ (ดีใจไหมครับ?) คือเอา 1 มาหาร (/) ด้วยค่า RT ซึ่งในที่นี้ก็จะได้ U = 3.30 W/m2 °C ……ถูกหรือยังครับ?.....แน่ใจหรือยังว่าใช่?.......แน่ใจได้ยังไงครับ? ไหนลองไปพลิกๆประกาศกระทรวงพลังงานดูเล่นสิว่าพลาดอะไรไปอีกหรือเปล่า? ……พลิกดูหรือยัง? .....ถ้าพลิกดูแล้วก็น่าจะรู้นะ ว่าเราทำถูกต้องครบทุกขั้นตอนแล้วครับ ค่า U-Value ของคอนกรีตหนา 20 cm ที่เราได้มาถูกต้องแล้วครับ :P

เหนื่อยหรือยังครับ? เนื้อหาวันนี้ยาวจริงๆแฮะ ตอนแรกผมตั้งใจว่าจะให้สั้นๆนะ แต่พิมพ์ไปพิมพ์มาก็ชักเยอะ นี่ก็คิดว่าตัดอะไรที่ไม่จำเป็นออกไปเยอะเหมือนกัน เพราะพูดถึงค่า U-Value แล้วผมอยากจะเล่าถึงการถ่ายเทความร้อนแบบการนำ (Conductivity) การพา (Convection) การแผ่ (Radiation) เป็นยังไงและแตกต่างกันยังไงให้ทุกคนได้อ่านกันเพลินๆ แต่ไว้เอาเรื่อง OTTV-RTTV นี้ให้จบก่อนดีกว่า เรื่องสนุกๆเอาไว้เล่าวันหลัง ช่วงนี้เอาเรื่อง OTTV-RTTV ไปทำมาหากินกันก่อน อย่าลืมพักทานน้ำกันก่อนนะครับ นั่งหน้าจอคอมพิวเตอร์นานๆไม่ดี ยืดเส้นยืดสายบ้าง ผมก็พักทานน้ำเหมือนกัน แล้วเดี๋ยวเรากลับมาลุยการหาค่า U-Value ข้อสุดท้ายกันต่อครับ

ม๊ะ! ข้อสุดท้ายละ ไม่ต้องพูดพร่ำทำเพลง เรามาหาค่า U-Value ของผนังก่ออิฐมอญฉาบปูนสองด้านความหนารวม 10 cm กัน โดยที่ความหนาของอิฐมอญอยู่ที่ 0.07 m และปูนฉาบหนาด้านละ 0.015 m ครับ

ก่อนอื่นเลยครับเราต้องหาค่า R ของปูนฉาบกับอิฐ

R ของปูนฉาบก็คือ ความหนา (0.015) หาร (/) ด้วยค่า k (0.72) ก็จะได้ 0.02083 m2 °C/W

R ของอิฐมอญก็คือความหนา (0.07) หาร (/) ด้วยค่า k (0.473) ก็จะได้ 0.14799 m2 °C/W

จากนั้นหาค่า R รวม (RT) ก็คือเอา Ro + R ปูนฉาบ + R อิฐมอญ + R ปูนฉาบ + Ri ก็จะได้ 0.35365 m2 °C/W

สุดท้ายหาค่า U โดยเอา 1 หาร (/) ด้วย RT ก็จะได้ 2.8277 W/m2 °C ได้เท่าผมไหมครับ? ถ้าไม่ได้ก็ลองกดเครื่องคิดเลขอีกรอบนะครับ หรือลองดูตามรูปที่ 8 ดูครับว่าได้แบบนี้ไหม

008 UValue Brick Plaster Wall 10 cm

รูปที่ 8 แสดงการหาค่า U-Value ของผนังก่ออิฐฉาบปูนหนา 10 cm

จบแล้วครับ กับการหาค่า U-Value หรือ ค่าสัมประสิทธิ์การถ่ายเทความร้อนรวม เป็นยังไงบ้างครับ ยากไหมครับ? คุณผู้อ่านตกใจไหมครับว่า เฮ้ย! มันง่ายอย่างนี้เลยหรอ? ผมอำหรือเปล่า? ผมไม่ได้อำนะครับ นี่คือวิธีการคำนวณค่า U-Value จริงๆ แต่!!! (เน้นนะครับ ควรจำไว้ว่า) มันยังมีรายละเอียดบางอย่างอีกที่ผมไม่ได้พูดถึงให้หมดภายในตอนเดียว เช่นเรื่องของช่องอากาศภายในผนัง (Air Gap) เรื่องการใส่ฉนวนภายในผนัง และข้อจำกัดของค่า U-Value เป็นต้น ซึ่งจะค่อยๆสอดแทรกเรื่องเหล่านี้ในตอนต่อๆไปครับ (ยกเว้นเรื่องข้อจำกัดของค่า U-Value ซึ่งคงต้องอธิบายแยกเป็นอีกตอน และยังไม่เกี่ยวกับการคำนวณ OTTV-RTTV ฉะนั้นคงยังไม่ได้พูดถึงในเร็วๆนี้)

สำหรับเรื่องค่า U-Value ตรงนี้ถ้ามีอะไรสงสัยหรือไม่เข้าใจตรงไหนก็สามารถ Comment ถามได้ที่ข้างล่างเลยนะครับ ส่วนเรื่องของค่า TDeq กับวิธีการหาค่า k ของวัสดุที่ไม่มีอยู่ในตารางผมขอติดไว้ครั้งหน้านะครับ ผมคิดว่าคุณผู้อ่านคงจะเหนื่อยกันแล้ว (ผมก็เหนื่อยเหมือนกัน 55)

ตอนหน้าจะเป็นตอนเบาๆครับ ด้วยความที่เรื่องของ TDeq น่าจะสั้นๆ ฉะนั้นในช่วงแรกของตอนหน้าจะเป็นการหาค่า TDeq ต่อมาช่วงหลังเราจะเอาค่า TDeq มาลองคำนวณ OTTV คู่กับค่า U-Value ดูนะครับ

แล้วพบกันใหม่ครับ สวัสดีครับ


via DEDE